典型产品结构形式:
![]() | ![]() | ![]() |
| 倍速链 | 带侧滚轮 | 顶滚轮 |
● 自由流动链是指在运行过程中实现链条移动速度不变的情况下,被输送的物品可按照使用者的要求控制移动节拍的链条;在链条运行速度一定的情况下,可以根据具体使用要求调整输送物品的速度快慢。主要包括:倍速链、带大滚轮输送链、带侧滚轮输送链、带特殊滚轮输送链、带顶滚轮短节距输送链、带顶滚轮双节距输送链等。
● 采用优质的材料、先进的加工工艺,产品具有防静电、噪声小、输送平稳、可靠等特点;
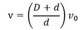
● 典型倍速链倍速计算模型示意图
由于滚轮直径D可成倍地大于滚子直径d,所以倍速链可得到成倍的增速效果,具体的计算公式如下:


式中
v—工装板与被输送物料的移动速度;
v0—倍数输送链的移动速度;
D—滚轮的直径;
d—滚子的直径;
● 产品广泛应用于家电、汽车零件部、电子产品等制造输送设备。
典型产品结构形式:
![]() | ![]() | ![]() |
| 倍速链 | 带侧滚轮 | 顶滚轮 |